
分类

千维计算器是一款功能强大好用的计算器类app,在这里为各位用户们提供了便捷高效的计算功能,帮助用户轻松的完成各种公式的计算。计算器是手机中必不可少的一款app,但是手机自带的计算器功能有限,只能进行一些简单的计算,如果用户想要进行一些复杂的运算那么便会捉襟见肘。而千维计算器变为各位用户们带来了功能全面的计算功能,支持各种复杂的公式运算,帮助用户能够快速的得出所需的答案,适合在日常学习工作或者进行各种工程计算时进行使用。千维计算器这里还提供了诸多的功能,可进行单位的换算,还能够进行汇率的查看,支持亲戚辈分称呼的查询,还能够计算各种理财的收益,并支持按键语音实时播报,丰富的功能为各位用户们带来便捷的使用体验。

【计算器】千维计算器支持复杂的计算表达式运算、输错算式可在任意位置重新输入,支持历史记录保存,可实时恢复历史记录计算,计算结果一键拷贝
【科学计算器】支持校园中常见数学三角函数、幂函数、圆周率、对数函数、无理数
【自由公式】可任意自定义计算规则公式,不仅适用于日常学习中的常见公式,尤其适用于投资理财,工程计算等多参数复杂场景
【数据统计】支持实时计算数据样本的平均数、总和、方差、标准差、中位数、众数
【单位换算】内置20+多种常见数学单位、物理工程单位、化学单位的换算,一键换算、实时输出
【厘米尺子】口袋中的厘米尺,免去携带卷尺的便利
【实时汇率】支持实时查询各大银行外汇汇入、汇出价格
【亲戚称呼】千维计算器支持任意辈分亲戚关系称呼查询
【理财计算】实时计算银行理财、复利理财、定投理财收益情况
【进制计算】支持36进制以内的任意进制数之间的转换
【主题管理】支持实时更换自定义主题皮肤
【调色板】任意拾取色彩颜色、采集图片中任意位置的颜色

• 简约的界面设计
• 个性化的快捷输入键盘
• 输入即显示的快速换算
• 个性化的记忆计算器
• 一键快速科学函数计算器
• 支持国际主流的工程计量单位
• 支持小数进制转换
• 简约化的自定义参数
• 支持功能排序
1、首先我们点击下方蓝色按钮中的第一个【自由公式】按钮。

2、接着再点击右上角的【+】,创建自定义公式。

3、第一行填写【公式名称】,第二行填写【公式内容】,填完后点击右上角【√】保存。

4、保存完成后,就可以在【公式列表】最下方看到创建好的公式。

5、点进公式,【输入】对应的数值,即可自动完成计算。

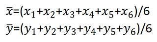
1、先把n个数据测量值画在坐标纸上,如果呈现一种直线趋势,才可以进行最小二乘法(直线回归法)。

2、然后就是计算这些n个数据点的横坐标平均值和纵坐标的平均值:

3、接着计算所有点的横坐标求和结果,以及所有点的纵坐标求和结果:

4、然后是计算每个数据点横坐标的平方,然后求和,以及计算每个点横坐标乘以纵坐标的乘积,然后求和:

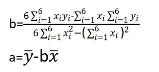
5、最后就是利用两个公式,把将要求的直线方程中的截距a和斜率b这两个参数代入上面的公式计算出来:

6、求出了a和b这两个参数之后,就可以得到直线方程:y=ax+b。这个时候还要利用这个方程,先取两个点,这两个点要求横坐标x1和x2距离比较远,这样误差会比较小(太近的两个点,误差比较大),然后分别代入刚求出来的直线方程y=ax+b,求出对应的y1和y2,然后把(x1,y1)和(x2,y2)描点在坐标纸上,这样就可以利用两点画出一条最终的回归直线了。

7、用户可以按照上述的创建自定义公式方法在千维计算器中创建最小二乘法的公式,然后进行方便计算。

v6.8.8:
• 自由公式支持管理默认公式
• 优化了用户体验
v6.8.7:
• 修复了已知问题
v6.8.5:
• 优化自由公式函数计算
v6.8.0:
• 自由公式添加更多函数支持
使用中有任何问题或建议,请前往【设置】-【问题反馈】中告诉我们要哦~
暗部口袋软件是一个非常强大的软件商店,用户可以通过它下载大量优质的资源软件,很多流行的游戏可以在这里快速下载,软件有很多功能,用户可以在这里享受到最好的软件体验。 软件优势 该软件包含大量高质量的软件,包括各种流行的游戏,视频软件,以及一些有用的....
暗部口袋1.8是一个资源丰富的软件,所有的资源都被收集和分类的非常丰富和详细,所有的资源都经过了安全测试,当你喜欢这个软件的时候,你可以免费下载,所有的资源都可以免费下载,你不需要花任何钱就能得到你想要的高质量软件,而且它很容易使用,不需要任何广告。....
暗部口袋2023最新版本是一个免费下载资源平台,拥有多种类型的软件资源,包括电影、小说、漫画等游戏版本,我们不断更新各种有用的资源供我们下载,整个过程没有广告,当我们遇到喜欢的软件时,我们可以直接下载。 软件亮点 我们每天都有很多软件下载,所有最....
显示全部
188MB 2025-10-08
编辑点评:拥有各种各样资源的软件库 哆啦软件库是一款用户可以轻松在线找到资源的手机客户端。每天都有最新的资源,可以很好的满足用户的下载需求,通过搜索框输入内容,就可以在线进行搜索哦,快来j9p下载哦。哆啦软件库亮点1、通过关键词搜索,快速找到你需要的资源,软件的下载速度
220MB 2025-10-08
承望截屏工具这是一款多功能的录屏软件,能够一键帮助各位用户捕捉精彩的画面,不仅可以应用到游戏挑战之中,还可以为你录制超多精彩的视频内容,而且在平台当中你可以自由的编辑自己已经录制好的内容。 《承望截屏工具》软件特色:1.这款软件当中的所有工具都是免费分享给大
172MB 2025-10-08
编辑点评:Easy163播放网易云灰色歌曲 使用网易云经常会遇到歌曲变灰的情况,网易云解灰软件又名Easy163是一个功能很强大,简单易用的网易云解灰工具,还支持在线下载歌曲,简单好用,需要的自行下载,最新版本附上。功能介绍一键可用,无须 ROOT;播放下架和收费歌曲;
163MB 2025-10-08
编辑点评:快速分享已安装的应用 非常好用的app安卓分享应用,SendApp是个小众但是用户评价都很不错的工具,可以将手机上的任何软件轻松分享给朋友,特别适合爱分享的朋友们,软件可以轻松管理手机上的各种应用,将手机上的应用抽取到sd卡,更方便的查看app的应用详情。Se
216MB 2025-10-08
华为红包助手是一款系统工具软件。对于所有的华为手机用户来说非常友好,给我们带来了各种各样的操作模式,可以设置相关的提醒,在有效的时间内抢到更多的红包,给用户带来很好的使用体验。 华为红包助手为什么不提醒? 1、红包提醒没有勾选。 2、红包提示声音设
